
自分泌运动因子(ATX:Autotaxin)是从人恶性黑色素瘤细胞的培养上清中分离出的一种分子量为125 kDa的糖蛋白,也是一种细胞迁移促进因子。肝纤维化等肝脏疾病会抑制ATX的代谢,从而导致血液ATX水平升高。
本产品可检测血清、血浆、细胞培养上清中的ATX。使用酶标仪即可快速简便地检测样品中的ATX。
※ 能否检测因培养基而异。当使用细胞培养上清作为样品时,请先对培养基进行加标回收测试或稀释线性实验。
样品中的ATX具有溶血磷脂酶D活性,可水解溶血磷脂酰胆碱,生成胆碱。由此产生的胆碱在胆碱氧化酶(COD)的作用下被氧化,生成过氧化氢。生成的胆碱在胆碱氧化酶(COD)的作用下被氧化,生成过氧化氢。生成的过氧化氢被定量氧化,并在过氧化物酶(POD)的作用下与N-乙基-N-(3-磺丙基)-3-甲基苯胺(TOPS)和4-氨基安替比林缩合,生成蓝紫色色素。最后,加入反应终止液终止反应,测量吸光度以确定样品中的ATX活性。
使用本产品分别对人、小鼠、大鼠的2种浓度血清、血浆(肝素)样品进行5次重复检测,确认再现性(精确度)。
人样品的CV(%)为0.88-1.8%,小鼠样品的CV(%)为0.16-1.4%,大鼠样品的CV(%)为1.1-2.8%,结果良好。
使用本产品在4天内分别对3种不同浓度的人、小鼠、大鼠血清、血浆(肝素)样品进行3次重复检测。
人样品的CV(%)为0.36%-2.2%、小鼠血清样品的CV(%)为0.64-3.5%,大鼠血清样品的CV(%)为1.9-5.6%,所有结果均良好。
使用产品附带的标准品稀释液,按倍数稀释2种浓度的人血清/血浆(肝素)、小鼠血清/血浆(肝素)和大鼠血清/血浆(肝素)后,进行检测并确认线性关系(平行检测两次)。
向人血清/血浆(肝素)、小鼠血清/血浆(肝素)和大鼠血清/血浆(肝素)中添加3种浓度的标准品,并进行加标回收测试(平行检测两次)。
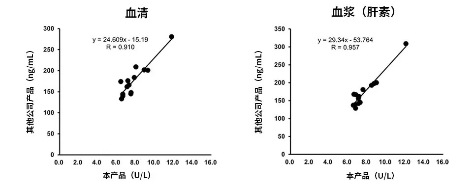
分别使用本产品和其他公司产品R对同一人血清/血浆(肝素)样品进行检测,确认检测值的相关性。检测方法以各试剂盒的检测操作方法为准。
红字: 标准曲线范围内可检测的样品及稀释20倍后对范围外的样品进行检测
本产品与其他公司产品R之间相关性高。另外,直接使用其他公司产品R对实际样品进行检测时,其数值会超出标准曲线范围,因此需要对所有样品进行稀释。而本产品无需稀释即可在标准曲线范围内进行检测。